همه چیز در مورد میدان مغناطیسی (تولید برق با میدان مغناطیسی)
میدان مغناطیسی تصویری است که ما به عنوان ابزاری برای توصیف نحوه توزیع نیروی مغناطیسی در فضای اطراف و درون یک ماده مغناطیسی استفاده می کنیم. به طور دقیق میدان مغناطیسی ، بردار نیرو ، میزان و جهت نیرو را بر روی یک جسم خاص نشان می دهد. در ادامه مقاله در نشریه جهان شیمی فیزیک توضیحات بیشتری در این رابطه ارائه می گردد لطفا همراه ما باشید.
در رابطه با نیروی الکتریکی ، ذره آزمایش کوچکی که ما استفاده می کنیم الکترون است ولی هیچ ذره معادلی برای نیروی مغناطیسی وجود ندارد. اصطلاح تک قطبی مغناطیسی به چنین ذره ای داده می شود. تا آنجا که می دانیم تک قطبی مغناطیسی در طبیعت وجود ندارد و همه منابع میدان مغناطیسی ماهیت دو قطبی دارند.
بسیاری از ما با اجسام مغناطیسی روزمره آشنایی داریم و تشخیص می دهیم که نیروهایی بین آنها وجود دارد. ما درک می کنیم که آهن ربا دو قطب دارد و بسته به جهت این دو قطب آهنربا می تواند جاذبه (قطب مخالف) یا دافعه (قطب مشابه) داشته باشد. ما می دانیم جایی که این نیروها در اطراف این آهنربا اتفاق می افتند میدانی وجود دارد که به عنوان میدان مغناطیسی شناخته می شود.
فهرست مطالب
روش نشان دادن میدان مغناطیسی
دو روش مختلف وجود دارد که یک میدان مغناطیسی را نشان می دهد از نظر ریاضی مگنتیک فیلد به عنوان یک میدان برداری توصیف می شود. این قسمت برداری را می توان به صورت مستقیم و به صورت مجموعه ای از بردارهای رسم شده بر روی یک شبکه نشان داد. هر بردار به جهتی که قطب نما نشان می دهد ، اشاره می کند و طول آن به قدرت نیروی مغناطیسی بستگی دارد. مرتب کردن بسیاری از قطب نماهای کوچک به صورت شبکه و قرار دادن شبکه در یک مگنتیک فیلد این تکنیک را نشان می دهد. در اینجا تنها تفاوت این است که قطب نما قدرت یک میدان را نشان نمی دهد.
یک روش جایگزین برای نمایش اطلاعات موجود در یک میدان برداری ، استفاده از خطوط میدانی است. در اینجا ما از الگوی شبکه استفاده نمی کنیم و بردارها را با خطوط صاف به هم متصل می کنیم. ما می توانیم هراندازه که می خواهیم خط بکشیم.

ویژگی های میدان مغناطیسی
خطوط موجود در مگنتیک فیلد هرگز یکدیگر را قطع نمی کنند و خطوط به طور طبیعی در مناطقی جمع می شوند که میدان مغناطیسی قوی ترین است. این بدان معناست که تراکم خطوط قدرت میدان را نشان می دهد.
این خطوط در هیچ کجا شروع یا متوقف نمی شوند ، آنها همیشه حلقه های بسته ای ایجاد می کنند که در داخل یک ماده مغناطیسی ادامه خواهند یافت (اگرچه گاهی اوقات به این ترتیب ترسیم نمی شوند).
ما به روشی برای نشان دادن جهت مگنتیک فیلد نیاز داریم. این کار معمولاً با ترسیم نوک پیکان در امتداد خطوط انجام می شود. بعضی اوقات نوک پیکان کشیده نمی شود و جهت باید به روشی دیگر نشان داده شود. بنا به دلایل تاریخی یک منطقه به عنوان “شمال” و یک منطقه دیگر به عنوان “جنوب” در نظر گرفته می شود و ترسیم خطوط میدانی فقط از این “قطب ها” است.
نکته:
فرض بر این است که این خطوط از شمال به جنوب کشیده می شوند. برچسب های “N” و “S” معمولاً در انتهای منبع میدان قرار می گیرند ، گرچه این کاملاً اختیاری است و قانون خاصی در مورد این مکان ها وجود ندارد.
خطوط مگنتیک فیلد را می توان به راحتی در دنیای واقعی تجسم کرد. این کار معمولاً با براده های آهن روی سطحی در مجاورت جسم مغناطیس انجام می شود. هر براده مانند یک آهنربا کوچک با قطب شمال و جنوب رفتار می کند. براده ها به طور طبیعی از یکدیگر جدا می شوند زیرا نیروهای مشابه یکدیگر را دفع می کنند. نتیجه این رفتار یک الگو شبیه خطوط میدان است. در حالی که الگوی کلی همیشه یکسان است ، موقعیت دقیق و تراکم خطوط به چگونگی قرارگیری ، اندازه و خصوصیات مغناطیسی آنها بستگی دارد.
چگونه میدان مغناطیسی را اندازه گیری کنیم؟
از آنجا که مگنتیک فیلد یک مقدار برداری است ، برای توصیف آن باید دو جنبه اندازه گیری شود که شامل قدرت و جهت است. اندازه گیری جهت آسان است. ما می توانیم از یک قطب نما استفاده کنیم. از قرن ۱۱ به بعد از قطب نماها برای ناوبری (با استفاده از میدان مغناطیسی زمین) استفاده می شود.
جالب است که اندازه گیری قدرت بسیار دشوارتر است. مغناطیس سنج های عملی فقط در قرن ۱۹ در دسترس بودند. بیشتر این مغناطیس سنج ها با بهره گیری از نیرویی که الکترون هنگام حرکت در یک مگنتیک فیلد احساس می کند ، کار می کنند.
اندازه گیری بسیار دقیق میدان های کوچک از زمان کشف مقاومت مغناطیسی غول پیکر در مواد لایه ای خاص از سال ۱۹۸۸ امکان پذیر است. این کشف در فیزیک بنیادی به سرعت در فناوری هارد دیسک که برای ذخیره سازی داده ها در رایانه استفاده می شود ، اعمال شد. این مسئله منجر به افزایش هزار برابری ظرفیت ذخیره اطلاعات در چند سال بلافاصله پس از اجرای این فناوری شد. به همین دلیل در سال ۲۰۰۷ برای این کشف جایزه نوبل فیزیک به آلبرت فرت و پیتر گرونبرگ اهدا شد.
بهتر است بدانید:
در سیستم SI ، مگنتیک فیلد با تسلا اندازه گیری می شود (نماد T به نام نیکولا تسلا نامگذاری شده است). تسلا بر اساس میزان نیرو وارد شده به یک بار متحرک ناشی از میدان تعریف می شود. از نظر مقایسه باید گفت که آهن ربای یخچال یک میدان کوچک در حدودT 0.001 تولید می کند و میدان مغناطیسی زمین حدود ۵⋅۱۰−۵ T است. یک اندازه گیری جایگزین نیز غالباً استفاده می شود که با نماد G نشان داده می شود. در این رابطه یک فاکتور تبدیل ساده وجود دارد ۱ T=10۴ G . به این دلیل G استفاده می شود زیرا ۱ تسلا یک میدان بسیار بزرگ است.
در معادلات ، بزرگی مگنتیک فیلد با نماد B داده می شود. همچنین ممکن است کمیتی به نام قدرت میدان مغناطیسی مشاهده کنید که نماد H به آن داده می شود. B و H هر دو واحد یکسانی دارند ، اما H اثر متمرکز شدن میدان های مغناطیسی توسط مواد مغناطیسی را در نظر می گیرد. برای مشکلات ساده ای که در هوا اتفاق می افتد ، نیازی به نگرانی در مورد این تمایز نخواهید داشت.

منشا میدان مغناطیسی چیست؟
میدان های مغناطیسی هر زمان که بار در حرکت است ، رخ می دهد. هرچه بار بیشتری در حرکت باشد قدرت میدان افزایش می یابد. مغناطیس و میدان های مغناطیسی یکی از جنبه های نیروی الکترومغناطیسی ، یکی از چهار نیروی اساسی طبیعت هستند.
دو روش اساسی وجود دارد که می توانیم ترتیب دهیم تا بار در حرکت باشد و یک میدان مغناطیسی مفید ایجاد کند:
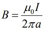
ما یک جریان را از طریق یک سیم ایجاد می کنیم ، به عنوان مثال با اتصال آن به یک باتری. همانطور که جریان (میزان بار در حرکت) را افزایش می دهیم ، میدان مغناطیسی نیز به تناسب افزایش می یابد. هرچه از سیم دورتر می شویم ، میدانی که مشاهده می کنیم به نسبت فاصله کاهش می یابد. این قانون را قانون آمپر توصیف می کند. مگنتیک فیلد که با فاصله r از یک سیم مستقیم طولانی که جریان I را حمل می کند با معادله زیر نشان داده می شود:

از آنجا که مگنتیک فیلد یک بردار است ، بنابراین باید جهت را نیز بدانیم. برای تعیین جهت جریان متداولی که از طریق یک سیم مستقیم عبور می کند می توانید از دست راست خودتان استفاده کنید.
برای تعیین میدان مغناطیسی اطراف یک سیم انگشت شست دست خود را در جهت جریان قرار دهید. در این حالت جهت انگشتان بسته شما، جهت میدان مغناطیسی را نشان می دهد.
روش تولید برق با میدان مغناطیسی
در حال حاضر بیشترین میزان الکتریسیته مصرفی ما از ژنراتورهایی تأمین می شود که با استفاده از میدان های مغناطیسی برق تولید می کنند. ژنراتورها از سیم پیچ هایی ساخته می شوند که یا به دور میدان های مغناطیسی چرخیده می شوند و یا به صورت ثابت قرار می گیرند و آهنربا به دور آنها می چرخد و در هر دو وضعیت سیم پیچ ها در معرض تغییر میدان های مغناطیسی قرار می گیرند که توسط آهنربا ایجاد شده است.
آهنرباهای مورد استفاده در ژنراتور می توانند دائمی یا الکتریکی باشد. آهنرباهای دائمی بیشتر در ژنراتورهای کوچک مورد استفاده قرار می گیرند و نیازی به منبع تغذیه ندارند. آهنرباهای الکتریکی دارای هسته ای از جنس آهن یا استیل دارند که سیم ها اطراف آنها پیچیده می شوند. با عبور جریان الکتریکی از سیم ، فلزخاصیت مغناطیسی پیدا کرده و بدین ترتیب یک میدان مغناطیسی ایجاد می شود.
سیم پیچ ژنراتورها از مواد رسانا ساخته می شود بنابراین وقتی الکترون های سیم در معرض تغییر میدان های مغناطیسی قرار می گیرند این الکترون ها حرکت می کنند و جریان الکتریکی ایجاد می شود که در نهایت برق را از نیروگاه خارج و به دست ما می رساند.

نیروی اعمال شده بر بارهای متحرک و جریان در سیم
بار اعمال شده بر یک ذره باردار
یک ذره باردار که در یک میدان B حرکت می کند ، یک نیروی جانبی را تجربه می کند که متناسب با قدرت میدان مغناطیسی است و سرعت آن عمود بر میدان مغناطیسی و بار ذره است. این نیرو به عنوان نیروی لورنتس شناخته می شود و توسط معادله زیر نشان داده می شود:
F نیرو ، q بار الکتریکی ذره است ، v سرعت آنی ذره است و B میدان مغناطیسی است .
نیروی لورنتس همیشه عمود بر سرعت ذره و میدان مغناطیسی ایجاد کننده آن است. هنگامی که یک ذره باردار در یک میدان مغناطیسی ساکن حرکت می کند ، یک مسیر مارپیچی را دنبال می کند که در آن محور مارپیچ موازی با میدان مغناطیسی است و در آن سرعت ذره ثابت می ماند. از آنجا که نیروی مغناطیسی همیشه عمود بر حرکت است ، مگنتیک فیلد نمی تواند با بار جدا شده کار کند و فقط می تواند از طریق میدان الکتریکی تولید شده توسط یک میدان مغناطیسی متغیر ، به طور غیر مستقیم کار کند.
ادعا می شود که نیروی مغناطیسی می تواند به دو قطبی مغناطیسی غیر بنیادی یا ذرات بارداری که حرکت آنها توسط نیروهای دیگر محدود می شود اثر کند ، اما این نادرست است زیرا کار در این موارد توسط نیروهای الکتریکی انجام می شود که ناشی از بارهایی است که توسط میدان مغناطیسی منحرف می شوند.
نیروی اعمال شده بر سیم حامل جریان
نیرویی که بر روی سیم حامل جریان اعمال می شود مانند بارهای متحرک است زیرا همانطور که انتظار می رود سیم حامل جریان ، حاوی مجموعه ای از بارهای متحرک است. یک سیم حامل جریان در حضور یک میدان مغناطیسی نیرویی را احساس می کند. از نیروی لورنتس روی یک جریان ماکروسکوپی غالباً به عنوان نیروی لاپلاس یاد می شود. یک هادی با طول ℓ ، سطح مقطع A و بار q را به دلیل جریان الکتریکی i در نظر بگیرید. اگر این رسانا در یک میدان مغناطیسی به بزرگی B قرار بگیرد که با سرعت بارهای رسانا زاویه θ ایجاد کند ، نیروی وارد شده به یک بار qبا معادله زیر نشان داده می شود:
بنابراین ، برای بارهای N :
نیروی وارد شده به هادی :
i= nqvA
میدان مغناطیسی تصویری است که ما به عنوان ابزاری برای توصیف نحوه توزیع نیروی مغناطیسی در فضای اطراف و درون یک ماده مغناطیسی استفاده می کنیم.

انرژی مغناطیسی ذخیره شده
برای تولید یک میدان مغناطیسی انرژی لازم است تا هم در برابر میدان الکتریکی که یک میدان مغناطیسی در حال تغییر ایجاد می کند و هم برای تغییر مغناطیس هر ماده در داخل میدان مغناطیسی ، کار کند. برای مواد غیر پراکنده ، همین انرژی با تخریب میدان مغناطیسی آزاد می شود تا بتوان انرژی را در میدان مغناطیسی ذخیره کرد.
برای مواد خطی ، غیر پراکنده (مانند B = μH در جایی که μ مستقل از فرکانس است) ، چگالی انرژی:
اگر در اطراف آن هیچ ماده مغناطیسی وجود نداشته باشد ، μ می تواند با μ۰ جایگزین شود. از معادله فوق نمی توان برای مواد غیرخطی استفاده کرد. باید از عبارت عمومی تری که در زیر آورده شده استفاده شود.
به طور کلی ، مقدار افزایشی کار در واحد حجم δW مورد نیاز برای ایجاد یک تغییر کوچک در میدان مغناطیسی δB است:
هنگامی که رابطه بین H و B مشخص شد ، از این معادله برای تعیین کار مورد نیاز برای رسیدن به یک حالت مغناطیسی استفاده می شود. برای مواد هیستریتیک مانند آهن ربا و ابررساناها ، کار مورد نیاز به نحوه ایجاد میدان مغناطیسی بستگی دارد. اگرچه برای مواد غیر پراکنده خطی ، معادله عمومی مستقیماً به معادله چگالی انرژی ساده تر که در بالا گفته شد منتهی می شود.











